2024-02-11から1日間の記事一覧

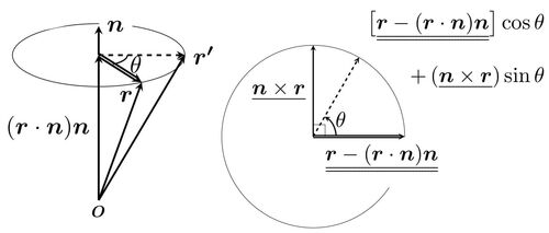
3次元回転行列とは? | 座標軸・任意軸まわりの公式と導出を図解

3次元回転行列の公式や導出方法を図解付きで解説します.座標軸周りの回転に加えて,任意軸周りの回転を表す「ロドリゲスの回転公式」についても分かりやすく説明します.

J-Quants APIで株価・財務情報を取得

データ分析の題材として,金融データを扱っている書籍は多いです.しかし,同じことを試そうと思っても,信頼できる長期的なデータを取得する方法がなかなかありません(経験上,無料で得られるデータでは,株式分割などを考慮しない株価になっている可能性…